◆ 松山湖材料实验室实用超导薄膜团队负责人
◆ 中国科学院物理研究所研究员
◆ 超导国家重点实验室副主任、党支部书记
超导薄膜与高通量超导研究
◆ 2003/09-2008/07,中国科学院物理研究所博士;
◆ 2008/08-2012/12,美国University of Maryland博士后;
◆ 2012/12–2016/08,中国科学院物理研究所特聘研究员;
◆ 2016/09至今,中国科学院物理研究所研究员;
◆ 2017/09至今,超导国家重点实验室副主任、党支部书记。

团队总顾问——赵忠贤
◆ “人民科学家”国家荣誉称号获得者
◆ 中国科学院院士
◆ 国家最高科学技术奖获得者
◆ 松山湖材料实验室学术委员会主任
目前团队共有10人,其中院士1人,研究员4人,博士学历占比80%。
王 维 特聘研究员
方志春 正研级高工
吴 东 副研
信纪军 助研
冯中沛 博士后
黎兆锋 科研助理
王曦瑶 实习工程师
课题组官网:http://scmaterials.sslab.org.cn/
松山湖材料实验室实用超导薄膜团队是在我国超导和低温物理科学家、国家最高科学技术奖获得者赵忠贤院士的倡议和支持下建立的,整合了国内在超导材料探索、超导薄膜制备、低温技术、大型粒子加速器设计建造等方面的优势力量,拟解决国家面临的超导薄膜系列关键技术难题,打通从基础研究到实用化的主链条。此外,与高能所王贻芳院士团队、近物所詹文龙院士团队以及电子科大李言荣院士团队等建立了密切的合作关系。团队致力于以实用为目标,做“无人区”的事,在东莞松山湖打造具有世界影响力的实用化超导薄膜的基地和团队。
项目意义
超导技术一直被誉为21世纪最具有经济战略意义的新兴技术。超导技术发展的一个非常重要的方向就是超导薄膜技术。以超导薄膜为基础的数字电路,相比半导体材料做的数字电路具有速度更快、损耗更小、容量更大的特点。用超导薄膜制成的超导量子干涉器,可以探测比人脑磁场弱几千倍的磁场,因此它不仅可以用来监视肺、脑和心脏的活动功能,而且还可以用来测量磁场的梯度以及起伏,用收集来的磁信号进行分析,确定矿源,预报地震等。超导薄膜制成的天线、谐振器、滤波器、延迟线等微波通讯器件具有常规材料(如金、银等)无法比拟的高灵敏度,从而受到各国军方的重视,成为未来电子对抗战中的关键技术。此外超导薄膜在大型粒子加速器中也有着广泛的应用。目前加速器用超导纯铌谐振腔单个价格超过100万元,国内已开始建设的大科学装置就需要约900个超导谐振腔,国内外计划建设的各类加速器项目对超导薄膜谐振腔的需求量将超过10000个。对于无线通讯市场而言,使用高温超导微波器件的基站是未来通讯的发展趋势,单价近万元的大面积双面钇钡铜氧(YBCO)薄膜目前的年需求量为千片,且逐年递增。由此可见实用化超导薄膜的市场潜力巨大。
我国在高温超导研究领域和NbTi线等实用材料方面已经跻身国际前列,但以应用为目标的一些关键技术,如高质量大面积YBCO双面薄膜、Nb3Sn曲面膜等,与国际先进水平仍有差距。本团队希望整合国内在超导材料探索、超导薄膜制备、高通量组合薄膜技术及低温技术方面的优势力量,解决面临的系列关键技术难题,打通从基础研究到实用化的主链条。这对于突破国外对关键核心技术的封锁,推动我国大型粒子加速器和用于通讯高频微波器件的发展具有战略意义。
研究方向
(1)高质量大面积双面YBCO薄膜的制备技术及高品质高温超导微波子系统样机研究(近期)
(2)针对加速器超导谐振腔的Nb3Sn薄膜研究:快速优化关键实用参数,研究纯铌腔、铜腔镀Nb3Sn薄膜工艺,实现高Q值Nb3Sn谐振腔(中期)
(3)实用化高临界参数FeSe类薄膜镀膜工艺研究(长期)
项目进展
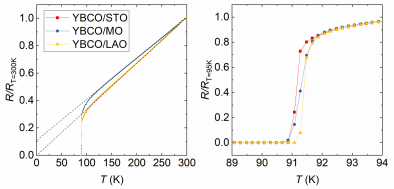
(1)团队搭建了首台国产三光束共溅射脉冲激光薄膜沉积系统以及研制了高性能真空薄膜加热器, 并在三种不同的衬底上均成功制备出1cm2大小Tc高达91 K的YBCO薄膜。

(2)团队制备出了FeSe高通量组合薄膜,薄膜可弯曲、解理及转移,为进一步研究FeSe类超导薄膜在加速器谐振腔实用化工艺方面打下基础。

(3)研制了紧凑型设计的高温超导滤波系统样机,整机的体积与重量减到原有超导系统的一半,并将预冷时间缩短到30 min就成功获得了超导滤波信号,为超导滤波系统的广泛使用奠定基础。

(4)开展了与超导薄膜材料相匹配的低温材料及技术研究,主要包括材料低温实验平台、超导薄膜器件集成技术以及建立材料低温物性检测中心等。

低温材料

低温物性测试设备
(5)进一步规划磁控以及MOCVD镀膜设备的搭建,开展Nb3Sn镀膜以及大面积双面YBCO超导薄膜工艺探索;进一步搭建团队物性分析设备,为超导薄膜实用化研究布局硬件实验平台。
科研项目
自2019年成立以来承担国家科技部重点研发计划子课题、广东省重点项目、广东省粤莞联合基金、国家自然科学基金面上项目等,获得竞争性经费1800万。
研究生培养计划
欢迎物理、化学、材料、低温工程等相关专业,有深厚的材料研究或者低温工程研究基础的博士后(4-5名)入站以及相关专业的博士/硕士研究生(若干名)来材料实验室进行联合培养。
联系方式:王老师 wangwei@sslab.org.cn