外场调控half-Heusler合金的反常霍尔效应研究进展
Half-Heusler合金是一类庞大的三元金属间化合物家族,由于其多样化的合金体系且具有许多新奇的物理特性,在诸多领域都有应用潜力。其中,稀土基磁性half-Heusler通常具有反铁磁基态,而稀土元素的引入带来了更加丰富的拓扑量子物性,如超导电性、手性反常负磁阻及内禀反?;舳вΦ?。其中一个重要物理参量——反?;舳?/strong>(即横向霍尔电导与纵向电导的比值),反映了纵向驱动电流所能转换为横向霍尔电流的效率。理论预期,具有大反常霍尔角的材料有望在二维极限下实现量子反?;舳в?。这对于新一代霍尔器件,尤其是量子反?;舳骷任匾?/p>
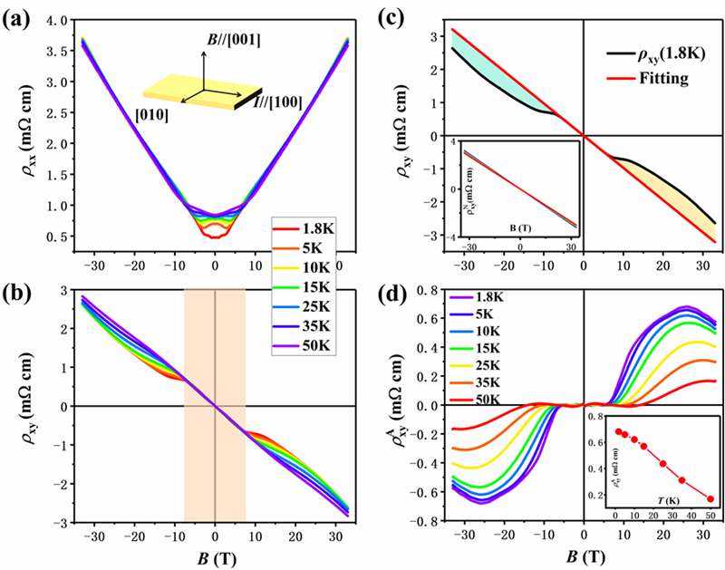
最近理论和实验证实,稀土基磁性RPtBi合金(R为重稀土)在外场作用下可以诱导产生Weyl半金属态,例如在GdPtBi等合金中观察到了由外场诱导产生的大的反常霍尔效应以及手性反常负磁电阻等现象。该合金具有简单的半金属性拓扑能带结构,为实现巨大反?;舳翘峁┯欣跫?,是研究巨大反常霍尔角的理想材料体系。特别是,RPtBi单晶在顺磁区域外磁场作用下表现出奇特的反?;舳вκ艿窖芯咳嗽惫刈?。 最近,松山湖材料实验室公共技术平台-材料制备与表征平台博士后陈杰在双聘研究员王文洪的指导下,依托实验室材料制备与表征平台大型仪器设备以及中科院磁场科学中心等,制备出高质量的R(R=Tb,Ho)PtBi单晶样品,并利用外磁场对能带结构的调控研究了体系中的反?;舳в?,在TbPtBi中实现了外场诱导的巨大反?;舳牵?3%),而在HoPtBi中除了外场诱导的反?;舳вν?,还观察到了磁场方向调控反常霍尔效应符号的行为(AHA:-12.3 ~ 9.1%)。研究表明霍尔效应的变号行为来源于外磁场对能带的调控,诱发了外尔点相对费米能级位置的变化,从而导致了贝利曲率分布的改变。 这两项研究成果以“Large anomalous Hall angle accompanying the sign change of anomalous Hall conductance in the topological half-Heusler compound HoPtBi”和“Large anomalous Hall angle in a topological semimetal candidate TbPtBi”为题分别发表在Physical Review B和Applied Physics letters杂志上,论文第一作者为实验室材料制备与表征平台博士后陈杰,通讯作者为王文洪研究员。其中,强磁场输运测量方面得到了中国科学院强磁场科学中心郗传英和王钊胜的支持。该工作得到了国家自然科学基金(11974406、12074415)、中科院战略先导(B)(XDB33000000)以及国家博士后基金(366 2020M680734)等项目的资助。 图1. HoPtBi单晶:B// [111]时的反常霍尔效应 图2. HoPtBi单晶: 不同磁场方向下的反?;舳вΡ浜?/p>
图3. TbPtBi单晶:高场诱发的大反?;舳藕?/p>
图4. TbPtBi单晶:巨大的反?;舳?/p>
材料制备与表征平台是依托松山湖材料实验室打造的顶尖齐全、具有一流水平的材料制备、显微结构、力热光电磁表征的全方位综合平台。平台包括6个子平台和1个机加工中心,分别为材料制备、电子显微镜、扫描探针显微镜、光谱测量、电学测量与调控、磁性材料与器件检测和机加工中心。平台提供全面开放的测试服务,各仪器设备均配备有专职技术人员,可提供专业、有深度的样品测试表征与解析服务,助力推动基础科研和实际应用的融合发展。 电学与磁学测量子平台配备有PPMS-9T(QD)、半导体综合分析仪、半导体器件测试系统、高场低温多功能测量系统(16T)、MPMS3、Moke、高频磁电输运测量系统等专业磁性和电性测量设备。 /uploads/科研进展/20210519/Large anomalous Hall angle in a topological semimetal candidate TbPtBi.pdf



