格点规范场与费米子物质场耦合问题取得进展
格点规范场和费米子物质场之间的相互作用描述了诸多基本物理规律,涉及的范围涵盖从高能物理中的夸克禁闭到凝聚态物理中的量子自旋液体等广泛的领域。其中,(2+1) 维紧致U(1) 格点规范场与费米子物质场耦合问题格外受到关注,这是因为在凝聚态物理系统中,这个问题描述了涌现规范?。╡mergent gauge field)和分数化任意子激发的耦合,被认为是很多二维强关联电子体系 – 如铜基超导体和代数量子自旋液体 – 的低能有效理论描述;在高能物理中,它对应于3维紧致量子电动力学与无质量费米子耦合的问题,耦合的结果能否产生去禁闭相仍然是一个尚未解决的难题。

图1. a. (2+1) 维紧致U(1) 格点规范场与费米子物质场耦合问题的相图,横轴J控制规范场涨落,纵轴Nf 是费米子的味道数。U1D 代表U(1) 规范场去禁闭相,即代数量子自旋液体),AFM 代表规范场禁闭的反铁磁相,VBS代表规范场禁闭的价键固体相。b. 微观模型在2维 正方 晶格上的实现,蓝色格点代表费米子场,黄色圆圈代表规范场,耦合的结果是规范场倾向于形成 pi-flux,一如黄色虚线的箭头方向。c. 在去禁闭相中,费米子格林函数需要考虑路径上的规范场才是规范不变的物理学可观测量。
从凝聚态物理和高能物理的角度来看,对于规范场和物质场耦合的问题,已有的解析研究都依赖大Nf微扰展开技术(这里的Nf是费米子味道数),研究发现去禁闭相在大Nf极限下可以存在,而在很小Nf的时候可能不稳定。但是,众所周知大Nf展开技术推广到小Nf( 比如与实际密切相关的自旋1/2 电子 Nf=2 ),其可靠性急剧下降,因为1/Nf在小Nf时不再是小量。故而该问题的解决需要找到一个在小Nf下仍然能工作的方法。目前为止还没有找到这样的可靠方法,这就是为什么近十几年来,该研究方向鲜有进展的原因。
几年以来,松山湖材料实验室双聘研究员/中国科学院物理研究所/北京凝聚态物理国家研究中心凝聚态理论与材料计算实验室孟子杨研究员与合作者,包括香港科技大学许霄琰博士(物理所2017年博士毕业生),复旦大学戚扬副教授,密歇根大学孙锴教授,维尔兹堡大学 Fakher Assaad 教授等人运用行列式量子蒙特卡洛研究费米子-玻色子耦合格点模型,不断改进数值计算方法和条件,取得了系列性成果。最近,许霄琰,戚扬,中国科学院大学卡弗里理论科学研究所张龙助理教授,加州大学圣塔芭芭拉分校许岑珂教授,Fakher Assaad 和孟子杨组成的国际研究团队(下面简称该团队),寻求从大规模数值计算的角度研究规范场和物质场耦合的问题,取得了突破。他们发现 (2+1) 维紧致 U(1) 格点规范场与费米子物质场耦合问题可以通过无符号问题的量子蒙特卡洛方法严格求解,并通过大规模数值计算,得到了该问题初步的相图,取得包括 Nf=2 时U(1)规范场去禁闭相仍然稳定存在这样的重要结果。相关工作发表在最近一期的 Physics Review X [1]。

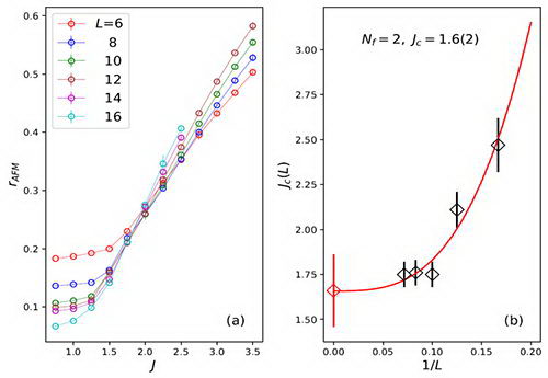
图2. 在费米子味道数 N=2 的时候,运用关联比例(correlation ratio r_AFM)确定从U(1) 规范场去禁闭相(代数量子自旋液体)到紧闭的反铁磁长程序相的量子相变点,其热力学极限外推的位置在 Jc=1.6(2)。
物理问题的模型和相图如图1所示,该团队计算得到了在不同数量的费米子味道数 Nf 和不同强度的规范涨落强度J之下的完整相图。发现当规范涨落很强时(J大时)U(1)规范场禁闭,诱导出几种不同的对称性破缺相,例如反铁磁相(Antiferromagnetic phase, AFM)和价键固体相(Valence bond solid, VBS);而当规范涨落较弱时(J小时),系统可以存在稳定的去禁闭相(U(1) deconfined phase, U1D,即代数量子自旋液体)。从去禁闭相到禁闭相的量子相变过程,可以通过蒙特卡洛计算中得到的物理学可观测量来确定,如图2所示。 U1D相中,规范场涨落传递的费米子相互作用,系统展现出奇异的性质,比如两自旋关联和四自旋关联具有同样幂律衰减,也就是说不同数目费米子算符组成的关联函数其实具有相同的标度维度,而标度维度随着费米子味道数目(Nf)的变化,最终可以和 1/Nf 在大 Nf 极限下的解析表达式取得一致。

图3. 代数量子自旋液体具有的特殊性质,其两自旋关联和四自旋关联具有相同的标度维度( scaling dimension, Delta_S = Delta_D), 它们只是费米子味道数目 Nf的函数,当味道数目无穷大时,有1/Nf 展开的解析表达式可以比对。
这些结果说明大规模量子蒙特卡洛计算揭示了即使在 Nf=2 (对应自旋1/2 的相互作用电子系统)这样与实际物理体系密切相关的情况下,去禁闭相仍然稳定存在这样的重要结论。这种去禁闭相,具有普遍幂律关联,就是凝聚态物理学强关联电子理论中常常出现的代数自旋液体,作为涌现规范场和物质场耦合的结果,它是量子物质科学新范式的代表性系统。同时,这样的结果回答了 3维紧致量子电动力学与无质量费米子耦合的情况下,可以存在稳定的去禁闭相这个高能物理学关心的问题。这项研究开辟了很多新的方向,比如去禁闭相和禁闭相之间的量子相变,就是超越朗道-金兹堡-威耳逊理论框架所能描述的相变实例,相关的研究正在进行中。
这项工作得到了科技部重点研发计划2016YFA0300502,2018YFA0305802,中科院先导项目 XDB28000000,XDPB08-4, XDB28040200,国家自然科学基金委项目 11574359,11674370 以及松山湖材料实验室,香港特别行政区 HKRGC 项目HKUST3/CRF/13G 和 C6026-16W,德国研究基金 Research unit FOR1807 和 Mercator Follow 等项目的支持。量子蒙特卡洛模拟所需的大规模的并行计算在中科院物理所量子模拟科学中心和国家超算天津中心天河1号平台和国家超算广州中心天河2号平台上完成,计算过程中得到了国家超算天津中心孟祥飞博士、菅晓东工程师等人,国家超算广州中心应用推广部王栋部长、崔颖妍工程师等人的有力配合,在此一并感谢。
文献:
[1] Monte Carlo Study of Lattice Compact Quantum Electrodynamics with Fermionic Matter: The Parent State of Quantum Phases,
Xiao Yan Xu, Yang Qi, Long Zhang, Fakher F. Assaad, Cenke Xu, and Zi Yang Meng,
Phys. Rev. X 9, 021022 (2019)
https://journals.aps.org/prx/abstract/10.1103/PhysRevX.9.021022
附件列表:
下载附件>>
PhysRevX.9.021022(2019)(1).pdf
