广州桑拿飞机论坛2025广州飞机020fj论坛 ,开州区茶楼转让51龙凤茶楼论坛网深圳 ,栖凤楼茶楼论坛详情海口龙凤茶楼论坛网,一楼一凤论坛的最新消息今天

科研进展丨微合金化抑制超稳金属玻璃的形成

2025-05-19
963
正文字体:

金属玻璃能否像天然琥珀、火山玻璃甚至月球玻璃那样,通过长时间老化或弛豫进入热力学低能态,形成“超稳定玻璃”,是当前非晶态材料和物理领域的重要前沿科学问题。长期以来,学术界普遍认为,具有良好玻璃形成能力(Glass-forming ability, GFA)的合金系统,在经过足够长时间的老化或退火处理后,可以自然演化为更加稳定的无序结构。然而,这一观点在金属玻璃体系中是否成立,仍缺乏长时间尺度的实验验证。

2022年,松山湖材料实验室汪卫华、张博团队在《Science Advances》上发表了题为“Ultrastable metallic glass by room temperature aging”的研究论文,系统报道了Ce70Al10Cu20块体金属玻璃在室温自然老化17.7年后的超稳定行为。研究发现,该金属玻璃在长时间室温老化后仍保持完美的非晶结构,同时伴随明显的结构致密化、焓降低、玻璃转变温度(Tg)升高等特征,呈现出优异的热力学与动力学超稳定性,类似天然琥珀的“超稳定”状态。该成果首次以实验证据揭示了金属玻璃在长时间尺度下实现超稳定态转化的可能性,拓宽了人们对超稳定玻璃在超越常规实验室时间尺度内演化行为的认知边界。

在此基础上,研究团队进一步提出了新的科学问题:传统观点认为,GFA越强,其初始结构越致密、稳定性越高。微合金化作为一种有效提升 GFA 的策略,被广泛应用于金属玻璃设计中。那么,这种手段是否有助于金属玻璃在长时间老化中进入更稳定的结构态?或者,它反而可能阻碍这种“超稳定化”的过程?

为回答这一问题,团队以Ce70Al10Cu20为基础合金,分别引入2 at.%的Ni、Fe和Co等过渡金属元素,构建三种具有增强GFA的微合金化体系。所有样品在相同条件下于室温自然老化超过10年,随后进行多尺度结构与热物性分析。X射线衍射结果显示(见图1),所有样品在10年老化过程中未发生晶化,依然保持完好的非晶态结构。样品表面虽出现氧化,但打磨后内部仍呈金属光泽,说明其本体结构稳定。

图1. Ce基合金在自然老化10年后仍保持非晶结构。XRD图谱显示,Ce70Al10Cu20及其微合金化样品在自然老化超过10年后仍未发生晶化。插图为老化后样品实物,表面氧化但内部仍具金属光泽。

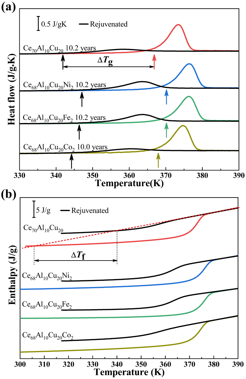
热分析结果表明(图2),基础合金在老化后Tg显著升高,虚化温度Tf明显降低,表明其动力学与热力学稳定性大幅提升,表现出典型的超稳定玻璃特征。而微合金化样品虽同样经历老化过程,但Tg和Tf的变化幅度显著减弱,说明其向超稳定态演化的能力受到抑制。

图2. 十年老化前后不同样品的(a)DSC热流曲线与(b)焓曲线?;『辖鹄匣骉g显著升高、Tf明显下降,表现出典型的超稳定特征;微合金样品的变化幅度减小。

为了揭示结构演化机制,进一步通过正电子湮灭能谱(Positron annihilation spectroscopy)与多普勒展宽能谱(Coincident Doppler Broadening,CDB)分析其微观结构演化,发现基础合金在老化过程中其类空位结构显著收缩,而在Fe与Co微合金样品中,类空位几乎没有变化。CDB谱表明所有样品中空位周围的化学环境主要由Ce原子主导,表明结构周围化学环境稳定。这些结果说明,过渡金属元素与Ce之间存在强相互作用,抑制了Ce原子的局域扩散与类空位结构的重构,阻碍了微合金化样品在老化过程中的进一步结构致密化。

对比结构与热物性变化幅度(图4)可见,虽然微合金化显著提升了合金的GFA(铸态临界尺寸从2 mm增至5-10 mm),但其Tg提升、Tf下降、密度增加和正电子寿命变化等指标均被显著抑制。这一结果表明,微合金化增强了玻璃初始稳定性,却抑制了其在长时间尺度下继续演化至超稳定态的能力,揭示了“GFA提升”与“结构超稳定化”之间可能存在冲突。

图3. CDB谱揭示类空位周围以Ce原子为主。所有样品在老化前后类空位的高动量谱形均接近纯Ce,说明其局部化学环境始终由Ce原子主导。

图4. 微合金提升成玻能力但抑制超稳定演化。(a) 微合金显著提高临界铸态直径(Dc);(b-e) 但老化后Tg升高、Tf下降、密度增大和正电子寿命变化均被削弱,表明结构弛豫过程被抑制。

这一发现挑战了“高GFA必然带来高稳定性”的传统认知,揭示了GFA与结构演化能力之间可能存在的竞争关系。特别是在追求超稳定玻璃或具长期服役能力的材料系统中,初态致密与长时间弛豫能力之间并非总是正相关,结构稳定性与形成能力之间存在复杂的竞争关系。

相关研究成果以“Microalloying suppresses the formation of ultrastable Ce-based bulk metallic glasses”为题发表于《Applied Physics Letters》期刊,并被选为Featured Article。松山湖材料实验室赵勇副研究员为论文第一作者,松山湖材料实验室张博研究员与东京学芸大学Kiminori Sato教授为共同通讯作者。本研究工作得到了国家自然科学基金杰青(No. 52325104)和青年基金(52101199)、国家重点研发计划项目(No. 2021YFA0716302)、广东省基础与应用基础研究项目(No. 2022A1515140115),以及松山湖材料实验室松湖青年学者项目的大力支持。

 

文章链接

https://doi.org/10.1063/5.0260846

 

 

撰稿:空间材料团队