首次成功“破译”二维阻挫量子磁性晶体 TmMgGaO4(TMGO )的“材料基因”
由松山湖材料实验室、香港大学、中国科学院物理研究所、北京航空航天大学,以及上海复旦大学所组成的研究团队,通过大规模量子多体热力学与动力学计算,在量子材料和拓扑相变理论研究取得重要进展,首次成功“破译”了二维阻挫量子磁性晶体 TmMgGaO4(TMGO )的“材料基因”,有助科学家在量子磁性材料中实现其拓扑性质,发掘新一代的信息行业和工业工程应用材料。有关研究最近于国际权威学术期刊《自然·通讯》 (Nature Communications)中发表。
此次取得进展的研究,由松山湖实验室双聘研究员、香港大学物理学系副教授、中科院物理所研究员孟子杨,北京航空航天大学物理学院副教授李伟,复旦大学物理系教授戚扬共同率领。他们利用国家超级计算中心天河系列超级计算机进行了量子蒙特卡洛(针对大规模样本数据的计算方法)、热张量重正化群大规模平行计算,准确算出磁性晶体TMGO材料的微观量子模型当中电子自旋交换相互作用的正确参数,印证了TMGO只有在特定温度范围内才会展现KT相的假设。目前,团队已开展了进一步的理论和实验量子动力学研究。

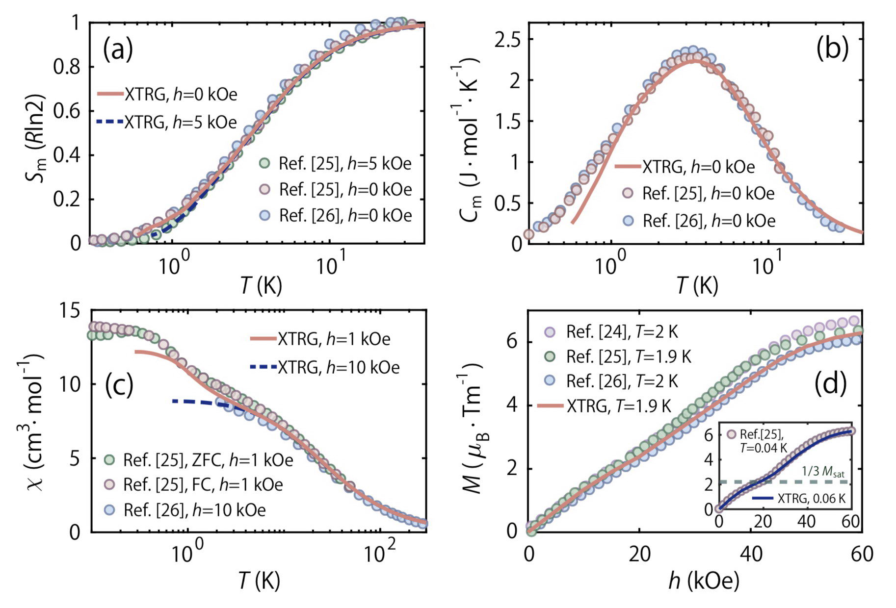
图1.热态张量网络多体计算精确拟合TMGO磁热力学测量数据

图2.二维自旋阻击量子TMGO的量子多体蒙特卡洛动力谱学模拟结果
“在此研究中,通过结合张量重正化群与量子蒙特卡洛方法等多体计算方法,我们成功地建立了关联量子晶体材料的热力学-动力学的多体研究范式,揭示磁性材料TMGO晶体的‘材料基因’的精确模型参数,计算量子多体系统在温度、压力和磁场等外部环境变化时的反应,为其下一步实验研究提供了准确的温度和磁场等参数,从而确定其在科研和工业应用中合适的参数范围。研究亦确认了TMGO是一个研究量子材料的理想实验材料。”孟子杨博士说。
此次研究计算用上国家超级计算机,是因为当中涉及多种计算模式,而这些材料性能的电子行为亦需要乎合数以亿计的量子力学规律。孟博士解释道:“研究能成功地计算出这种复杂的量子磁性材料,证明了我们这个结合数值计算和解析理论的研究方式是非常有效的,这给予我们信心去研究更多富有挑战性的量子材料体系。现在智能手机的计算能力已经超越20年前的超级计算机,倘若采用合适的量子材料去制造新计算机, 不难预见20年后的智能手机或有机会超越当前世界超级计算机的计算能力,而其耗电量甚至可以做到普通电池便可以应付。”
研究背景:
近半个世纪以来,集成电路可容纳晶体管数量,大约每隔两年就会递增一倍,即所谓的摩尔定律??萍枷冉率辜扑闫骷寤嚼丛叫?mdash;— 个人计算机的轻巧化便是一个好例子??墒牵庋墓媛梢灿芯⊥?,以目前集成电路器件的精密程度来看,已有需要从量子物理学入手去改良或发掘新材料,因此相关研究可说是现代文明社会永续发展的基石。
拓扑物态概念是凝聚体物理学中的重要理论。提出此理论的三位英国物理学先驱David J Thouless、F Duncan M Haldane和J Michael Kosterlitz,就是凭其获得2016年的诺贝尔物理学奖。他们利用高度抽象的拓扑学(Topology)数学概念打开了量子物理学和材料科学的全新研究方向,使物理学家能够以崭新角度去看待凝聚态物理学和材料系统,是人类关于物质分类理论的一大进步。量子材料的最新应用包括新一代信息高速公路的导线、高速便捷的磁悬浮列车、高温超导体材料、存储和传输仪器及进行量子计算的机器零件等,具有广阔的应用前景。
拓扑物态和拓扑相变概念最先由Kosterlitz和Thouless于1970年提出,故理论以他们名字的字首而命名为KT相。两位物理学家发现,在二维的磁性模型中,从磁性有序到磁性无序的状态之间,还可能存在一种具有扭曲(即拓扑)自旋排布的中间磁性状态(如图3所示)。这些年来,人们虽在超流体和超导体等中发现了KT相,却未能于最早所提出具拓扑物态的量子磁性材料中找到KT相。成功研究此物态有助于人们在量子磁性材料中实现其拓扑性质,为未来开拓新材料而铺路。

图3.在KT相(拓扑物态)中,磁性晶体TMGO中电子的自旋排布和与磁振子及涡旋旋对激发

图4.松山湖实验室双聘研究员孟子杨博士(左三)访问国家超级计算广州中心天河时留影。
研究团队介绍
孟子杨博士,发展和运用量子蒙特卡洛计算方法,研究凝聚态物理量子多体问题中的相变和临界现象,最近在量子金属研究方面取得进展(详情见https://www.hku.hk/research/stories/20645/);北京航空航天大学李伟博士专注于量子多体物理与张量网络方法,提出了热张量重正化群方法,做出高水平原创性成果;复旦大学戚扬博士擅长研究电子系统在数值计算和理论分析上的优势互补。此次研究结合蒙特卡洛(孟子杨)、张量网络(李伟)和场论解析(戚扬)多个方式,成功展示了量子材料科学研究的新方向。
有关天河系列超级计算机
超级计算机天河1号和2号曾分别于2010年和2014年为世界排名第一的超级计算机,而最新的天河3号预计2021年全面投入服务,届时将与欧美新一代的超算平台竞较。此次研究团队运用这些世界上最先进的规模计算平台,完成了上千个CPU及上千小时的计算。相似的计算规模,如果使用个人计算机去进行,需要上百万个小时(约等于20年)的计算时间才能完成。而团队使用的量子多体计算方法,也是目前世界上最先进的研究量子材料的方法。
本工作获得香港特别行政区研究资助局、科技部重点研发计划和国家自然科学基金委等机构资助,并获香港大学理学院计算研究启动计划和信息技术服务中心支持。
论文附件:
图片下载:https://www.scifac.hku.hk/press
